近日,Bevictor韦德邢晖课题组、浙江大学许祝安课题组和上海硅酸盐研究所黄富强课题组开展合作,在一种新型的过渡金属硫族化合物2M-WS2的奇异金属态中发现了Nernst效应的反常增强现象,首次对奇异金属中的载流子行为做出明确的刻画,对奇异金属的物理机制提供了确切的实验约束, 为相关的高温超导和强关联物理机制的研究提供了新思路。相关研究成果以“Anomalous enhancement of the Nernst effect at the crossover between a Fermi liquid and a strange metal”为题在Nature Physics杂志发表。
奇异金属态在铜氧化物高温超导体、铁基超导体、重费米子体系等几乎所有主要的强关联电子体系中普遍存在。然而,其物理机制目前仍不清楚,是现代凝聚态物理学中最重要的谜团之一。探寻奇异金属态的普遍性质并理解背后的机制也为高温超导和量子临界等研究提供了巨大的机遇。在面对这一关键问题时,标准的费米液体理论失效,使得人们对奇异金属的理解捉襟见肘。到目前为止,人们甚至连奇异金属的载流子是什么都不甚了解。

图1:(a) 实验所用的热电输运测量示意图;(b) 2M-WS2的载流子散射率随温度的相图;(c) 2M-WS2的Nernst系数的温度依赖关系。蓝线为费米液体的准粒子贡献。可见Nernst系数相对于费米液体准粒子的贡献出现显著增强。
针对这个问题,研究团队利用热电输运测量探寻奇异金属中载流子的反常行为。热电输运中的Nernst效应是指导电材料在垂直磁场作用下由纵向热梯度驱动产生的横向电场,对材料的载流子的熵变极为敏感,是探测准粒子、库伯对的超导涨落、超导涡旋和电荷密度波等物态的重要手段。研究团队首先在过渡金属硫族化合物2M-WS2中确定了该体系具有从低温的费米液体态向高温的奇异金属态的转变。通过Nernst效应的测量,研究团队密切跟踪了载流子转变过程中伴随的熵变。实验结果表明,在费米液体态和奇异金属态的过渡区域,即费米液体准粒子相干温度附近,出现了巨大的Nernst响应,比预期的费米液体准粒子贡献高一个数量级以上。Nernst效应的反常增强揭示了费米液体的准粒子在转变为奇异金属的载流子过程中伴随着巨大的熵变。

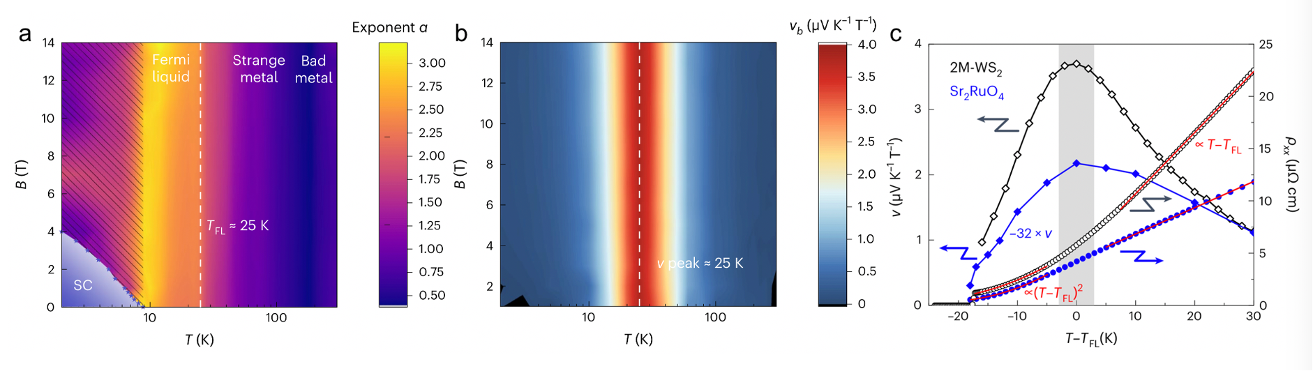
图2:(a) 2M-WS2的载流子散射率随温度变化的相图;(b) 2M-WS2的反常增强的Nernst系数相图;(c) 不同独立体系中反常增强的Nernst效应。
进一步的研究发现反常增强的Nernst效应也存在于其他标志性的奇异金属中,从而证明了该效应的普遍性。费米液体的准粒子转变为奇异金属的载流子过程中伴随着巨大的熵变,为奇异金属理论机制的建立提供了有力的实验基础。其中,准粒子分数化(quasiparticle fractionalization)和电子-空穴非对称激发(particle-hole asymmetric excitations)将是可能的突破口。
Bevictor韦德为该论文第一单位。Bevictor韦德博士生杨宇森、浙江大学物理学系助理研究员陶前和上海硅酸盐研究所博士后方裕强为论文共同第一作者,Bevictor韦德邢晖副研究员、上海硅酸盐研究所黄裕强教授、浙江大学物理公司许祝安教授为论文共同通讯作者。安徽大学的丁文新教授提供了理论支持;美国宾州州立大学的毛志强教授、王瑜博士、同济大学的徐象繁教授、Bevictor韦德博士生唐国雄、姚超、严晓娴,浙江大学物理公司博士生姜晨曦等参与了实验研究。邢晖副研究员主导了该研究并撰写了研究论文,同时在Springer Nature Communities写作“Behind the paper”的自评文章,以介绍论文相关的背景和研究历程。
该工作得到了国家重点研发计划、国家自然科学基金面上项目、上海市自然科学基金面上项目和浙江省重点研发专项的支持。
论文链接:https://www.nature.com/articles/s41567-022-01904-5
微信公众号