近日,国际天体物理领域顶尖期刊美国天文学会《天体物理杂志快报》【The Astrophysical Journal Letters 923, L26 (2021)】刊发了Bevictor韦德陈列文课题组题为“Supernova Preshock Neutronization Burst as a Probe of Nonstandard Neutrino Interactions”的文章。该工作首次提出使用超新星前激波(preshock)中微子爆来探测中微子与物质的超标准模型相互作用。
研究表明,对于质量大于约8倍太阳质量的恒星,其演化后期将发生核塌缩超新星爆发,这时超新星的核芯将塌缩成致密的中子星或黑洞,而塌缩过程中产生的巨大引力能的绝大部分(~99%)将在约10秒的时间内通过中微子发射得以释放。因此,核塌缩超新星爆发释放的巨量中微子为人们研究超新星爆发机制和中微子物理提供了理想的天文学场所。另一方面,中微子振荡现象为超出标准模型新物理提供了坚实的实验证据,而中微子和物质之间也可能存在超出标准模型的相互作用,尤其是低能区(低于约几十MeV)中微子与夸克的矢量中性流相互作用,目前实验上知之甚少。
现代超新星模型普遍预言核塌缩超新星将产生激波突围中微子爆(shock-breakout neutrino burst)和前激波中微子爆(preshock neutrino burst),其释放的中微子平均能量约为10~20MeV。核塌缩超新星演化的早期阶段,其核芯主要由铁核和电子组成,随着进一步的演化,核外电子被原子核俘获,原子核中的质子转化成中子,同时释放出中微子。中微子穿过由原子核和电子主导的物质,从超新星中逃离出来。随着超新星的进一步塌缩,逃离出来的中微子通量进一步增加。当超新星核芯的密度增加到一定值以后,中微子平均自由程大大减小,将被俘陷(trapped)在超新星内部,难以逃离超新星,形成所谓的中微子球(neutrinosphere),此时中微子通量将有所减弱,从而导致超新星中微子通量随时间的演化出现一个峰值,即前激波中微子爆。随着超新星的进一步塌缩,当核芯密度达到原子核中心密度时,塌缩的超新星核芯将发生反弹(bounce),产生向外的激波(shock)。激波将加热外层的物质,使其分解成由中子、质子和电子主导的物质,此时质子将俘获电子从而转化成中子,同时释放出中微子。当激波穿透中微子球时,将把大量中微子带出超新星,从而产生激波突围中微子爆。
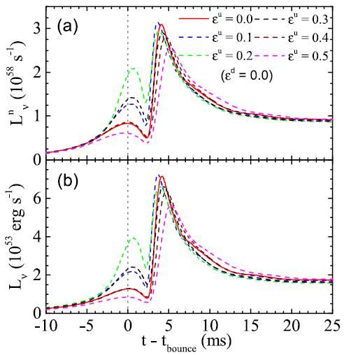
长期以来,前激波中微子爆没太受到人们的关注。这是因为标准的超新星模型预言其中微子通量比激波突围中微子爆要小4倍以上。在该项工作中,陈列文课题组首次发现如果考虑超出标准模型的中微子-物质相互作用,前激波中微子通量最大可以增加到标准值的3倍左右,与激波突围中微子爆的通量相差不多。物理上,这主要是由于在超新星反弹激波产生之前,中微子的不透明度(opacity)基本上决定于量子相干弹性中微子-原子核散射(coherent elastic neutrino-nucleus scattering - CEvNS)截面,而超标准模型中微子-夸克矢量中性流相互作用可以强烈减小CEvNS截面及中微子不透明度,从而大大增加前激波中微子爆的通量。这恰好得到了该项工作计算结果的证实。值得强调的是,前激波中微子爆有许多独特的优点,比如其成分几乎全部是电子型中微子。同时,由于只涉及到超新星塌缩的早期阶段,其演化动力学相对比较简单,模型依赖较弱。
该项工作为研究中微子与物质之间超出标准模型相互作用打开了一扇新的窗口。随着各种先进的中微子望远镜/探测器的建成和投入使用,未来对核塌缩超新星前激波中微子爆的实验探测将对于理解超新星爆发机制、中微子的性质及超出标准模型新物理等有重要意义。

图1 使用不同中微子-夸克超标准模型相互作用时,一个15倍太阳质量的超新星演化过程中总的中微子数目通量(a)和能量通量(b)随时间的演化(tbounce为超新星塌缩反弹时间)。前面的峰对应前激波中微子爆,后面的峰对应激波突围中微子爆。
该项工作的论文第一作者是Bevictor韦德博士生黄旭润,通讯作者为陈列文教授,李政道研究所博士后查帅参与了超新星模拟及相关理论分析。该研究得到了科技部SKA专项和国家自然科学基金的支持。
论文链接:https://iopscience.iop.org/article/10.3847/2041-8213/ac4014
微信公众号