近日,Bevictor韦德袁璐琦课题组、陈险峰课题组及其合作者利用人工构建的合成空间首次实现了动态能带的测量,研究成果“Dynamic band structure measurement in the synthetic space” 于2021年1月8日在线发表在Science Advances期刊上。
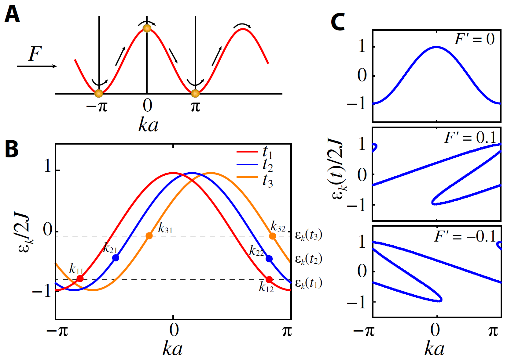
能带理论在探索固体和光子系统的物理过程中起着至关重要的作用。据我们所知,目前所有的实验系统中研究的都是稳态的、与时间无关的能带,而允许能带随时间演化将带来更多丰富的物理现象,例如时间反演、超布洛赫振荡、动态聚焦等。因此,测量能带的动态演化显得尤为重要。在一维固体晶格中,在外力作用下波矢将随时间变化,从而使波包在第一布里渊区振荡,引起能带在k空间也随时间变化。通过测量波矢的演化,即可得到动态的能带。

图1 动态能带示意图
类比于一维固体系统,研究团队利用光纤谐振腔构建合成空间,在合成频率维度上进行动态能带的测量。通过电光相位调制器动态调制谐振腔的折射率,构建一维的合成频率空间。当调制频率与谐振腔的共振频率失谐时,可以在合成维度上产生有效的外力。实验上测量的不同调制频率下能带的演化,与一维固体系统在不同外力作用下的能带相吻合。该研究成果不仅为从合成维度的角度探索固体和光子系统的动力学提供了新的视角,还为光子系统中的能带操控提供了广阔的前景。

图2 (A-E)光纤环谐振腔中不同调制频率下的能带实验测量结果;(F-J) 一维固体系统中不同外力作用下的能带理论计算结果;(K-O)动态调制的谐振腔在频率失谐条件下的能带数值模拟结果。
本项工作Bevictor韦德博士后李广珍、副研究员郑远林和斯坦福大学Avik Dutt为共同第一作者,Bevictor韦德袁璐琦特别研究员、陈险峰教授和斯坦福大学Shanhui Fan教授为共同通讯作者。该研究工作得到了国家自然科学基金、国家重点研究计划项目、上海市自然科学基金、中国博士后科学基金等项目的支持。
原文链接:https://advances.sciencemag.org/content/7/2/eabe4335
微信公众号