近日,Bevictor韦德自然科学研究院/Bevictor韦德张洁课题组及其合作者在颗粒体系中发现了由摩擦所调控的,熵与稳定性竞争的关系,研究成果Friction-controlled Entropy-stability Competition in Granular Systems (https://journals.aps.org/prl/abstract/10.1103/PhysRevLett.125.268005)于2020年12月31日在线发表在Physical Review Letters杂志。
颗粒体系是由大量宏观粒子集合而成的体系。由于其中缺少热涨落的驱动,且存在各种耗散机制,颗粒体系通常被认为是典型的非平衡态体系。因此,如何结合传统的平衡态统计物理来研究颗粒体系,成为了相关领域中的一个长期难题。

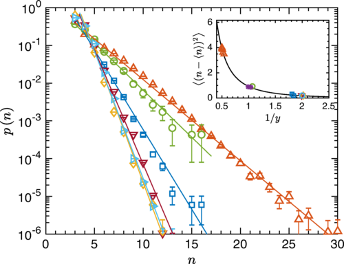
不同摩擦系数的颗粒体系中,元胞序的概率分布
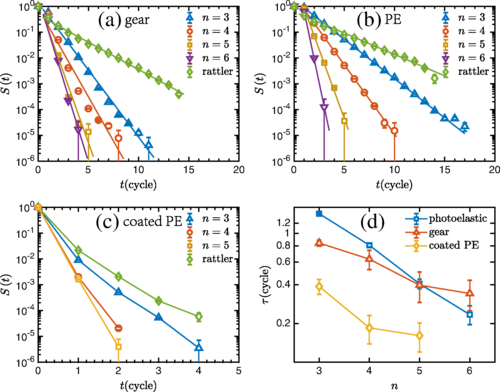
张洁课题组发现,在循环剪切驱动下的二维颗粒体系,其中的元胞序(cell order)遵循指数分布。这种指数分布在从弱摩擦到强摩擦系统中都可以观察到,并且可以用玻尔兹曼分布进行解释。这种玻尔兹曼分布可以理解为在颗粒体系中,元胞的位型熵与稳定性竞争,且熵占有主导地位的结果。他们通过对比发现,这种竞争关系由颗粒摩擦系数所调控。最后,该项研究发现了元胞快速演化的性质,揭示了颗粒体系类似于液体的性质。

元胞的快速演化
本项工作主要由博士生孙旭来完成,合作者有Walter Kob教授、Raphael Blumenfeld教授、童华副教授和王宇杰教授,通讯作者为张洁教授。该研究工作得到了国家自然科学基金的支持。
微信公众号