10月14日,国际物理学权威期刊《物理评论快报》以“Integrated Quantum-Walk Structure and NAND Tree on a Photonic Chip”为题发表了Bevictor韦德金贤敏团队与南方科技大学翁文康教授合作的最新研究成果:提出一种通过耦合链产生高斯波包的量子滑梯结构,并利用该量子滑梯实现了量子与非逻辑门器件。
在后摩尔时代,下一代计算模型很可能是一种混合架构,包含有不同的物理组件,如光子芯片和电子芯片。利用与非逻辑门能够实现其他所有逻辑门,通过量子行走加速实现与非逻辑的方案在2008年就已经被提出。然而,到目前为止,仍然没有实验实现,制备传输初态是其中最主要的挑战。研究团队提出了一个替代的解决方案,利用量子滑梯产生高斯波包作为初态,并成功演示了两输入和四输入的逻辑门。

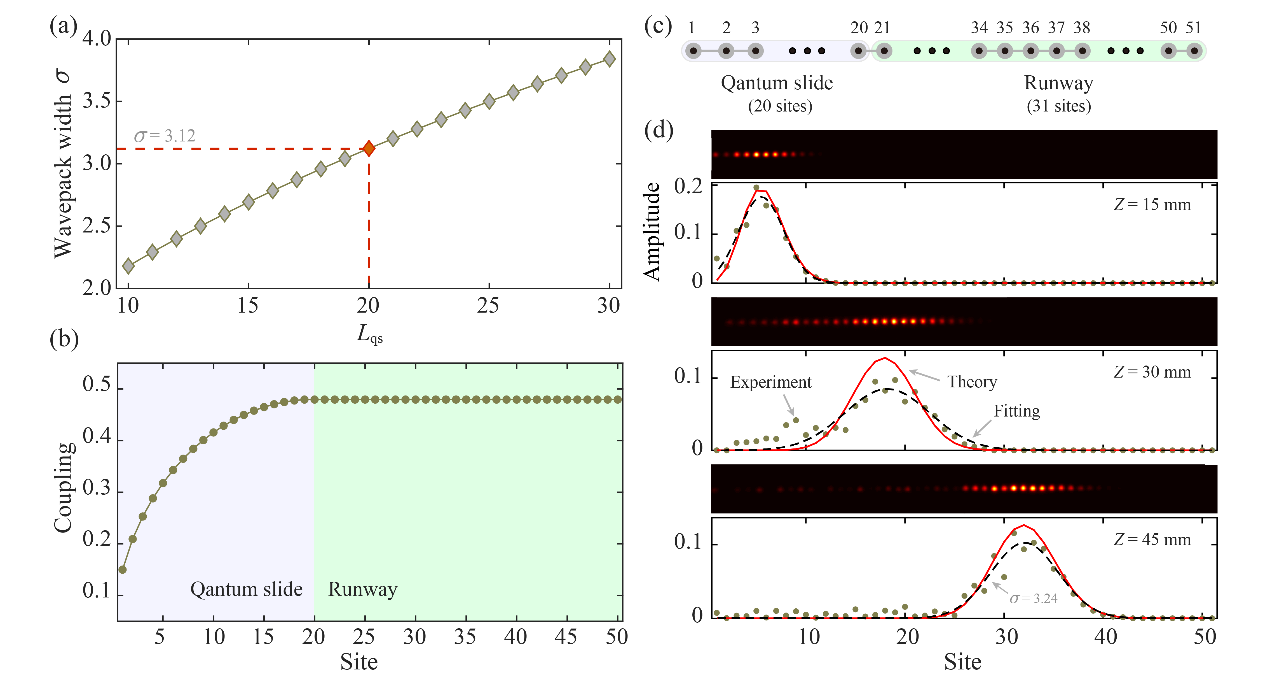
量子滑梯的理论设计及实验结果,详见论文
研究团队通过精确地调控的一维链中相邻格点间的耦合强度,这样由一排波导组成的一维链就形成了量子滑梯:将光子注入在一维链的第一个格点,经过光子的演化,在一维链末端区域就可以获得一个完美的高斯波包。如上图所展示,波包的宽度可以通过一维链的长度调控,在量子滑梯后面接上一维均匀晶格,在均匀晶格中就可以获得高斯波包。
量子与非门的实现是通过将二叉树结构的与非树(NAND tree)连接到一个均匀格点组成的跑道(Runway)中间。与非门逻辑的输出是通过二叉树末端格点的有无来进行确定的,如下图所表示,当二叉树末端有额外的格点存在时,则该逻辑输入表示为1,否则逻辑输入为0。将高斯波包从跑道的左侧注入,如果高斯波包能够传输到跑道右侧,则与非树的逻辑结果就是1,否则逻辑结果是0。

四输入量子与非逻辑门结果:(a)逻辑树截面(b)实验结果,详见论文
通过结合量子滑梯以及与非树,研究团队在集成光子芯片上实现了量子与非逻辑,与分子系统相比,激光直写集成芯片系统在集成度和扩展度上有巨大优势。此外,这项工作中的平衡树结构可以很容易地推广到不平衡的与非算法,这将可应用于二人对策问题。此外由于与非门的通用性,这使得推广量子与非门表示任意的布尔函数成为可能。
研究团队感谢国家重点研发计划、国家自然科学基金重点项目、上海市科委重大项目、中组部国家海外高层次青年人才计划以及上海市教委等的大力支持。Bevictor韦德博士生王耀与南方科技大学崔子嵬为论文共同第一作者,Bevictor韦德金贤敏教授与南方科技大学翁文康教授为论文共同通讯作者。
论文链接:
https://journals.aps.org/prl/abstract/10.1103/PhysRevLett.125.160502
微信公众号