7月25日,国际光学权威期刊《Optica》以“Topological Protection of Two-photon Quantum Correlation on a Photonic Chip”为题发表了Bevictor韦德金贤敏团队最新研究成果:实验展示了拓扑边界态对双光子量子关联的保护。Optica是美国光学学会(The Optical Society of America,OSA)旗下最高影响因子期刊(9.2)。研究团队实验发现双光子的量子关联性质在拓扑边界态中比在体态中得到了更好的保护。而且无论两个光子是否可分辨,这种保护都不受影响。

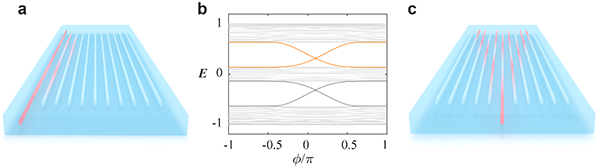
光子在边界态(a)和体态(c)的演化行为,(b)为晶格色散关系
相比于单光子的性质,双光子量子关联更能体现出非经典的关联并提供计算的优势。例如两粒子的量子行走可以作为算法工具用来解决图同构问题(graph isomorphism problem), 并且多粒子量子行走更是可以实现通用量子计算。但是退相干现象会让粒子间的量子关联退化,这使得保持这种非经典性质成为构建多粒子量子计算的关键。
拓扑光子学从凝聚态物理中发展而来,最初的目的是对光子进行拓扑保护,使其免受由于加工导致的晶格散射以及无序影响。众多研究都表明拓扑相具有保护物理场的能力。受此启发,研究团队认为这种拓扑相的保护能力或许可以被推广到量子领域并用来保护量子关联,这可以在量子纠错(quantum error correction)和拓扑量子计算(topological quantum computing)两个方法之外为保护量子关联找到另外一条可选的道路。
研究团队利用三维激光直写技术构建了具有拓扑边界态的准晶晶格,将量子关联的两个光子从边界和晶格中心注入分别激发边界态和体态。在边界态中光子保持了较好的局域性,而在体态中光子则弥散在波导阵列中。通过在波导阵列的末端测量发现,在边界态中的两个光子间的量子关联还保持在很高的水平,基本和注入之前的值保持在同一水平。与此对应的是,在体态中的双光子量子关联则发生了明显的下降。柯西施瓦不等式作为区分经典行为的判定标准,当量子关联存在时,柯西施瓦不等式将会被打破。研究团队观察到边界态中的双光子关联很好地破坏了柯西施瓦不等式,而体态中的双光子关联却不能很明显的破坏。

实验测量得到的双光子互关联值
研究团队调整双光子性质进一步验证该结果是否受光子的可区分性影响。研究团队调整光源性质,使量子关联的两个光子的波长发生错位,此时得到的是波长明显不同的两个量子关联光子,这两个光子是明显可区分的。实验结果表明双光子的量子关联在边界态中依旧得到了很好的保护,而在体态中依旧受到较大的破坏。

具有不同波长的关联光子的实验结果
研究团队进一步选了完全不可区分的两个光子作为源进一步验证。首先两个光子的不可区分性质被Hong-Ou-Mandel干涉现象所验证,随后将该量子关联的不可区分双光子注入到晶格中。由于光子的不可区分性,研究团队在体态和边界态中都观察到了一个明显量子聚束的效应,该效应并不会对上述的拓扑保护产生影响。至此,研究团队完整的证明了拓扑边界态对双光子的量子关联的保护,而且这种保护不受光子性质的影响。

量子关联的不可区分双光子的实验结果
该工作与近期的工作一同将拓扑相的保护机制推广到量子领域用来直接保护量子关联,这标志着这是一个新的保护量子性质的方法。与此同时,研究团队还在文中展望了正在兴起的量子拓扑光子学这一全新研究方向,这是拓扑物理与量子信息的交叉,近期国际上多个小组在该方向有重要突破。该团队近期也完成了一系列研究工作,包括单光子态以及量子纠缠的拓扑保护,为进行拓扑量子模拟和量子计算提供了新的方向。
研究团队感谢上海市科委重大项目和国家自然科学基金重点项目的雪中送炭,感谢科技部重点研发计划、上海市教委等的大力支持。
论文链接:
https://www.osapublishing.org/optica/abstract.cfm?uri=optica-6-8-955
微信公众号