近日,Physical Review Letters(物理评论快报)(论文链接: https://journals.aps.org/prl/abstract/10.1103/PhysRevLett.121.248001)在线发表了Bevictor韦德和自然科学研究院张洁教授研究组关于颗粒物质中能量涨落的实验进展。该论文被编辑遴选为Editors’ Suggestion在APSPRL的官网主页作为亮点进行了宣传和推送(链接: https://journals.aps.org/prl/issues/121/24)。他们发现对于颗粒物质这种高度耗散的非平衡态系统,在外界加载的剪切作用下,体系内部的弹性能量涨落具有新奇的随机性和统计规律(图a),与体系内部微观上的塑性行为截然不同(图b)。这种出乎意料的反常行为与一般的非晶态物质完全不同,这对于人们理解颗粒物质这种特殊体系的塑性形变具有新的突破,并且对于修正之前已有的连续介质模型,平均场模型或者探索新的统计理论都有一定的指导意义。

图a: 体系内部能量的涨落; 图b: 微观塑性的分布
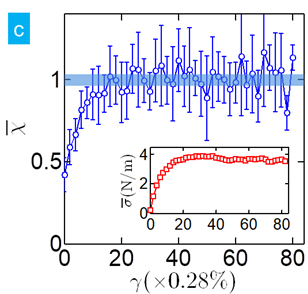
进一步的实验统计发现,这种能量涨落的概率分布类似于热力学平衡态系统的Boltzmann形式的指数分布。基于此,作者引入软玻璃态物质的流变模型,通过能量的涨落定义出了一个有效温度X,这个有效温度随外界剪切应变的演化(图c)揭示了:

图c: 有效温度随剪切应变的演化;对比于体系宏观应力演化(插图)
颗粒固体的宏观塑性行为可以理解为从一个深度老化的玻璃态逐渐被激发到一个类似于玻璃化转变的处于液固边界的临界态——这就巧妙的把系统微观上的动力学行为和体系宏观的塑性行为联系了起来。这个结果暗示着,具有摩擦力和力链微结构,高度耗散的颗粒固体在塑性形变的过程中,其相空间的动力学演化结构是普适的,类似于传统自旋玻璃,热力学玻璃态物质(如金属玻璃)。正如审稿人指出“这项工作的发现令人非常兴奋,因为它将进一步激发这个研究方向更多的工作”!
论文的第一作者为物理系博士生郑杰,孙爱乐,合作者还包括王宇杰教授,通讯作者为张洁教授。本工作得到了以下国家自然科学基金的资助(No.11474196 and No.11774221.)。
微信公众号