近来,Bevictor韦德王宇杰研究组在《物理评论快报》[PRL., 121, 018002 (2018)] 上发表了题为“Translational and Rotational Dynamical Heterogeneities in Granular Systems”的论文。
无序体系的动力学会在时空上会表现出很强的不均匀性,叫做动力学非均匀性 (DynamicHeterogeneity)。过去一般认为无序体系包括玻璃体系的
结构驰豫和动力学非均匀性有很强的关联,甚至有人认为玻璃化转变是一种动力学相变,动力学相变温度对应于动力学非均匀性发散的温度。过去对动力学非均匀性的研究一般局限在平动自由度的研究上,对具有转动自由度的分子和颗粒体系的研究比较匮乏,因此在非球无序体系中,平动自由度与转动自由度是如何耦合最终导致体系慢化的研究至今只能局限在数值模拟上,没有相关的实验技术可以对其直接研究。除了形状影响之外,颗粒体系中由于摩擦的存在,会加强平动与转动自由度的耦合,因此理解转动自由度的动力学尤其重要。
我们使用了X射线CT成像技术研究了循环剪切下的三维椭球颗粒堆积的平动和转动自由度的动力学非均匀性。我们发现动力学不均匀性的团簇大小具有和随机选取团簇类似的形状,具有分形维数2,其空间大小分布满足幂指数率分布,得到的动力学非均匀性性质与热无序体系在玻璃化转变附近的动力学非均匀性非常相似,表明由于体系中无序产生的动力学非均匀性可能具有非常普适的性质,与具体的产生无序的机制无关。但是不寻常的是我们体系中这些团簇形成的时间远远小于体系的
结构驰豫时间,表明了动力学非均匀性和
结构驰豫的独立性。这也佐证了我们在前期工作中[Nature 551, 360 (2017)]发现的有摩擦的颗粒体系会在远小于粒径尺度上产生无序从而影响其动力学,而不是传统热无序体系所关注的粒子尺度。我们还发现团簇的寿命分布满足幂指数率分布,而且和选取的时间尺度无关,表明体系所遍历的相空间具有分形的结构。同时快转动,快平动,慢转动,慢平动团簇相互之间有很大的相关性,可以帮助我们定量理解颗粒体系中形状和摩擦是如何让平动与转动自由度耦合在一起的。

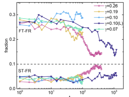
图:(左)快平动(蓝色)和快转动(黄色)以及同时是快转动及平动(绿色)的颗粒在不同时间段的空间分布。(右)同时具有快平动与快转动(满转动和快转动)性质的颗粒的比例,高于虚线(无耦合)是表明正耦合,低于虚线表明负耦合。

论文链接:https://journals.aps.org/prl/abstract/10.1103/PhysRevLett.121.018002
微信公众号