Ionization is one of the most basic physical processes in light-matter interaction. It determines many other physical processes, including but not limited to the generation of higher harmonics, photoelectron holography, molecular dissociation, electron correlation, etc. The appearance of femtosecond and attosecond laser pulses has made people's understanding of ionization far beyond the photoelectric effect described in the textbook. The ionization process can be controlled coherently by manipulating the parameters of laser pulse. In many control schemes, using two-color field to control ionization process is widely adopted in theory and experiment because of its advantages, such as simple experimental operation and more controllable parameters. It is usually believed that the ionization rate of atom enhances with the increase of laser intensities.
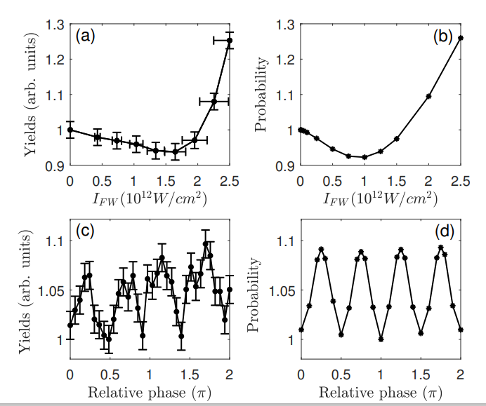
Recently, Prof. Feng He’s team studied the ionization of hydrogen and helium atoms in 400-800 nm laser field by using the method of numerical solution of time-dependent Schrödinger equation. Surprisingly, compared to the ionization process with the sole 400 nm laser, the ionization rate of the atoms decreases when the 800 nm laser is added simultaneously. Although tuning the relative phase between the 400 nm and 800 nm lasers can modify the ionization probability, the overall ionization probability is consistently reduced regardless the relative phase. By analyzing the components of the liberated electron wave function, the mechanism of underlying ionization reduction is revealed. When the 800 nm laser is added, the atom absorbs multiple photons of the 400 nm laser and a photon of the 800 nm laser simultaneously, and then the electrons are excited to the Rydberg states with large angular quantum numbers. Since the electron on these Rydberg states stands off the nuclei, it is not efficient to absorb further photons and thus stores in these Rydberg states. The results of numerical simulations show that this phenomenon is universal in atoms and molecules. Dr. Jian Wu, a distinguished professor from East China Normal University, led the team to measure the ionization rate of a helium atom in the same laser condition. The quantitative comparison between the results of measurements and numerical simulations confirms the basic physical phenomenon of ionization reduction. This study provides a new scheme to coherently control the ionization of atoms and molecules, also gives ideas for the preparation of specific quantum states and controlling ultrafast atomic processes at attosecond time scales.
Fig. 1. The ionization rate of helium atom changing with 800 nm laser intensity and the relative phase of the two lasers. The left column is the experimental results, and the right column is the simulation results.
Shanghai Jiao Tong University
No.800 Dong Chuan Road, No.5 Physics building
Minhang District, Shanghai,
200240
沪交ICP备05010
© School of Physics and Astronomy Shanghai Jiao Tong University All rights reserved
WeChat Official Account