On 31st December 2020, Physical Review Letters published the research on granular statistical mechanics by Prof. Jie Zhang and his collaborator. The title of this paper is Friction-controlled Entropy-stability Competition in Granular Systems.
Granular system is defined as an assemble of macroscopic particles. Due to the lack of thermal fluctuations and existence of various dissipations, granular systems are recognized as typical non-equilibrium systems. Thus, how to apply traditional equilibrium statistical mechanics to granular systems has been a long-lasting puzzle in this field.

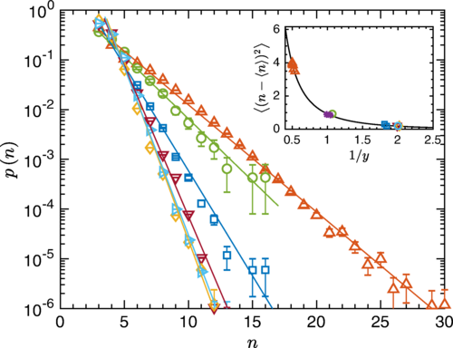
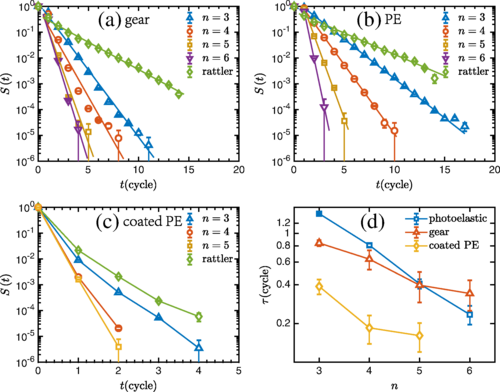
We find that, the cell order distribution in a cyclic-driven 2D granular system well obeys exponential law. This exponential law can be observed across a wide range of inter-particle friction, and can be explained by Boltzmann distribution. This Boltzmann distribution originates from an entropy-stability competition in granular systems, where entropy dominates. By comparison, we find that this competition relation is tuned by inter-particle friction. Finally, we show that cells are short-lived, implying that our systems are liquid-like, rather than glassy.

The first author is Ph.D. student Xulai Sun, the corresponding author is Prof. Jie Zhang, and Prof. Walter Kob, Prof. Raphael Blumenfeld, Assoc. Prof. Hua Tong and Prof. Yujie Wang are co-authors. This work is supported by NSFC.
Shanghai Jiao Tong University
No.800 Dong Chuan Road, No.5 Physics building
Minhang District, Shanghai,
200240
沪交ICP备05010
© School of Physics and Astronomy Shanghai Jiao Tong University All rights reserved
WeChat Official Account